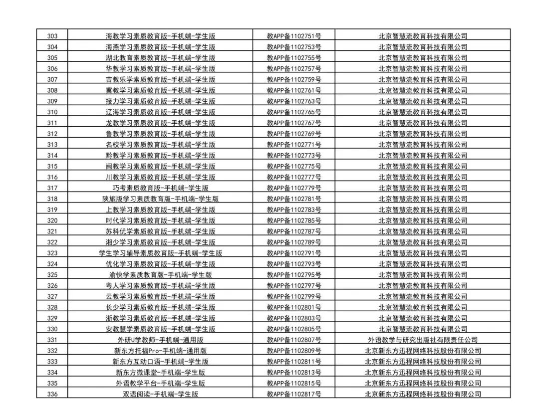
近日牛小散,北京市教委网站公布《北京地区教育移动互联网应用程序备案名单(白名单)》,445项被列入其中。一起来看看都有哪些——
北京地区教育移动互联网应用程序
备案名单(白名单)














牛小散
转载请注明来源“现代教育报(ID: modedunews)”
如您对本文内容有任何意见或建议,请发邮件至xdjyb18@126.com,我们将第一时间与您沟通。
来源:北京市教委牛小散
编辑:苏珊
校对:姜思瑶
审核:张秋颖
终审:冉阳 李继君

关注教育的人都在看
优倍网提示:文章来自网络,不代表本站观点。